您所在的位置:首页 - 科学研究 - 科研动态

科研动态

油页岩激光诱导电响应原理及应用

中文题目:油页岩激光诱导电响应原理及应用

论文题目:Laser-induced electro-response of oil shale: Principles and applications

录用期刊/会议:Chemical Engineering Journal (中科院SCI 1区, JCR Q1, TOP)

原文DOI:http://doi.org/10.1016/j.cej.2024.152279

作者列表

1) 刘学聪 中国免费靠逼视频(北京)信息科学与工程学院/人工智能学院 控制科学与工程 博22

2) 焦钰淇 中国免费靠逼视频(北京)新能源与材料学院 材料科学与工程 硕23

3) 洪争春 中国免费靠逼视频(北京)新能源与材料学院 材料科学与工程 硕23

4) 彭 雪 中国免费靠逼视频(北京)新能源与材料学院 材料科学与工程 硕19

5) 吕志清 中国免费靠逼视频(北京)理学院 实验中心 工程师

6) 赵 昆 中国免费靠逼视频(北京)新能源与材料学院 材料科学与工程系教师

7) 苗昕扬 中国免费靠逼视频(北京)新能源与材料学院 材料科学与工程系教师

摘要:

本文介绍了一种激光诱导电响应(LIER)方法,基于激光等离子体和光电效应,建立了脉冲激光辐照下油页岩测量的等效电路模型,激光诱导的热效应是连续激光辐照下产生LIER的主要原因。利用LIER实现了油页岩含油率的非热解表征以及燃烧和热解多级过程的实时监测,有助于推动油页岩勘探的发展。

背景与动机:

在油页岩转化工程中,存在着检测环境严苛、能源消耗等问题。我们提出了激光诱导电响应(LIER)方法,为油页岩的表征评价提供了一种全新的解决方案。

设计与实现:

如图1所示,油页岩LIER测试系统由激光器(脉冲或稳态)、分光镜、光阑、示波器、数字源表、加热器、温度监测、热红外成像仪、激光能量探测器等模块组成。



图1(a)紫外脉冲激光辐照、(b)稳态激光辐照、(c)燃烧或热解过程的油页岩LIER测试分析系统。

实验结果及分析:

  1. 脉冲激光辐照下的LIER响应机理

高能脉冲激光辐照在油页岩表面产生的激光诱导等离子体(LIP)会在自身浓度、温度梯度和外部电场下运动(图2),在外部电路可检测到图3所示的电信号。



图2 激光诱导油页岩等离子体的动力学演化过程示意图



图3 脉冲激光照射下的LIER响应波形


油页岩中的干酪根、矿物、孔隙和裂纹,可以用电感器(Ls)、电阻(Rs)和寄生电容(Cs)表示。在LIP影响下,样品上方形成放电通道,可等效为时变电阻Rp和时变电感Cp串联,如图4所示。



图4 脉冲激光照射前后LIER测量的等效电路


  1. 稳态激光辐照下油页岩的LIER响应机理

稳态激光辐照会导致油页岩表面温度升高,将油页岩看作理想的半无限传导介质,引入热学参数矫正因子a,建立了油页岩表面温度T的演变方程为:



基于LIER响应与表面温度的依赖关系,可建立稳态激光辐照下LIER的时间演化模型:



  1. 油页岩含油率非热解直接表征

如图5所示,LIER响应峰值与油页岩含油率之间呈正相关关系。与热重和低温蒸馏等标准方法不同,LIER最重要的优点是无需热解过程即可直接检测油页岩含油率。



图5 LIER信号峰值(Amp)与油页岩含油率的关系


  1. 油页岩热解过程监测

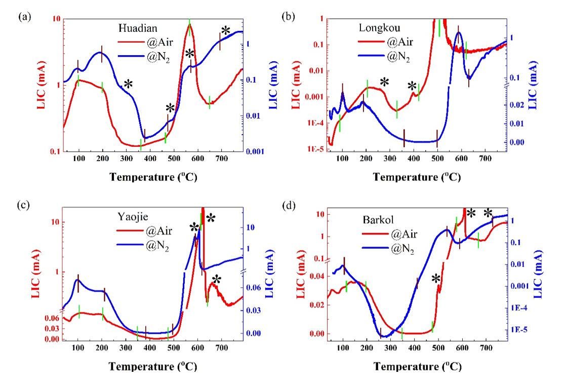
如图6所示,利用LIER响应,可将油页岩的整个燃烧或热解过程分为七个阶段:I(室温–100°C)和II(100°C–200°C)为油页岩中自由水和结合水的蒸发阶段;III(200°C–360°C)主要涉及羧基、羰基官能团的分解和有机物中弱共价键的断裂;IV(360°C–460°C)以干酪根分解为主,并具有热解气的显著增加;在阶段V(460 °C–560 °C),除了天然气的损失外,石油和天然气产量和半焦含量趋于稳定;VI(560°C–660°C)和VII(660°C–780°C)主要为无机矿物的热解阶段。


图6 油页岩在空气中燃烧和氮气中热解的LIER响应

结论:

激光诱导电响应(LIER)方法为解决油页岩转化工程中的挑战提供了新思路。通过LIER技术,能够更快速地评估含油率,实现对有机质和矿物分解的实时监测,为油页岩的勘探开发提供了重要支持。

通讯作者简介:

赵昆,教授,控制科学与工程学科博士生导师,研究方向为油气光学探测技术与智能制造。