您所在的位置:首页 - 科学研究 - 科研动态

科研动态

一种预测催化裂化装置NOX外排浓度的新方法

论文标题:A comparative study among machine learning and numerical models for simulating groundwater dynamics in the Heihe River Basin, northwestern China

作者列表:

1) 何  为 中国免费靠逼视频(北京) 信息科学与工程学院 博16

2) 李巨峰 中国石油集团安全环保技术研究院有限公司

3) 唐智和 中国石油集团安全环保技术研究院有限公司

4) 吴  甭 中国免费靠逼视频(北京) 信息科学与工程学院 硕17

5) 栾  辉 中国石油集团安全环保技术研究院有限公司

6) 陈  冲 中国免费靠逼视频(北京) 信息科学与工程学院

7) 梁华庆 中国免费靠逼视频(北京) 信息科学与工程学院

论文录用时间:2020年07月28日

发表期刊:Mathematical Problems in Engineering (JCR Q1)

原文DOI链接:http://doi.org/10.1155/2020/8071810

背景与动机:

随着原油质量的逐渐劣质化,在采用催化裂化进行重油轻质化的过程中,硫氮等杂质含量越来越高,在催化装置再生后将以SO2NOx的形式排出。2017 7 1 日起执行的《石油炼制工业污染物排放标准》,将催化裂化再生烟气氮氧化物排放浓度限定值由之前400 mg /m3调低至200 mg /m3。通过对3家石油炼化企业催化装置2016~2018 年生产运行数据和污染源自动监控数据综合分析,发现催化裂化装置生产工艺的调整与末端NOx污染排放有一定关系。由于催化裂化装置是一种多参数多变量相互耦合的复杂系统,难以用一个简单的过程来描述,很难在燃烧阶段有效控制污染物排放,现阶段主要通过在末端增加脱硝设施,以实现NOx排放浓度的控制。对催化裂化装置NOx排放浓度的预测,是控制污染物排放的有效途径之一。由于催化裂化过程本身的复杂性,传统的集总模型无法对NOx排放浓度进行有效预测。随着计算机科学的发展,数据驱动的人工智能分析方法得到了广泛的应用,一些学者在环保领域也进行了初步的探索。

主要方法:

在本文中,基于中国石油某350 万吨重油催化裂化装置的生产运行和污染排放数据,提出了一种结合CNNLSTM的深度学习网络结构,对提出的网络进行超参数调试,并与单独使用CNNLSTM进行污染外排预测的效果与性能进行了对比。算法结构如下:

1 CNN-LSTM 网络结构示意图

主要结果:

CNN超参数的优化过程中以RMSER2为评价指标,优化卷积核的大小和数量以及卷积层数,图2显示了调试超参数的结果。

2 CNN超参数优化过程((a) 卷积层个数;(b) 卷积核个数;(c) 卷积核大小)

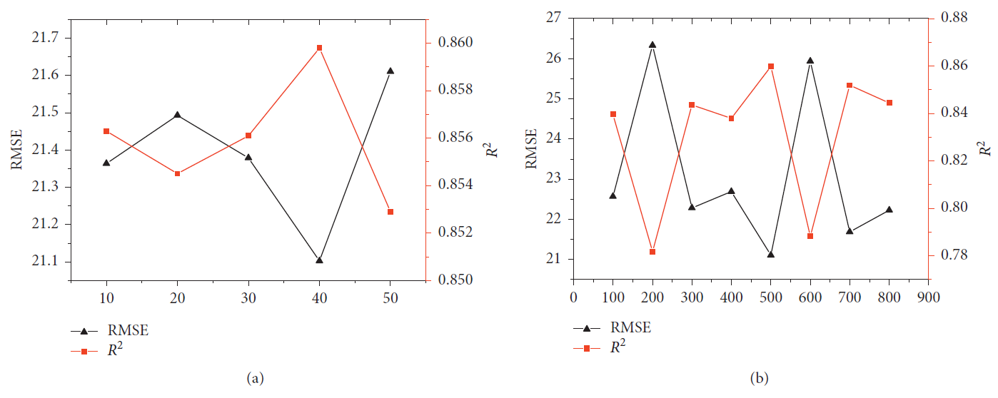
LSTM超参数的优化过程如图3

3 LSTM超参数优化过程((a) 隐藏层节点数;(b) batch-size大小)

CNN-LSTM超参数的优化过程如图4

4 CNN-LSTM超参数优化过程((a) 卷积核大小;(b) batch-size大小;(c) 卷积核个数;(d) 卷积层数;(e) dropout概率)

5 不同网络的预测结果((a) CNN的预测结果;(b) LSTM神经网络的预测结果;(c) CNN-LSTM神经网络的预测结果)

作者简介

陈冲,博士,中国免费靠逼视频(北京),信息科学与工程学院电子信息工程系,硕士生导师,中共党员。研究方向:数值模拟、参数反演、机器学习、信息融合、不确定性分析。联系方式:Email: chenchong@dgqinyehang.com。