您所在的位置:首页 - 科学研究 - 科研动态

科研动态

盐的激光感生电压信号在纳秒脉冲激光检测中的应用

中文题目:盐的激光感生电压信号在纳秒脉冲激光检测中的应用

论文题目Laser-induced voltage of table salt for deep ultraviolet pulsed laser detection

录用期刊/会议2023 China Automation Congress (EI)

原文DOI10.1109/CAC59555.2023.10450599

录用/见刊时间:2024-04-19

作者列表

1) 刘学聪 中国免费靠逼视频(北京)人工智能学院 控制科学与工程专业 博22

2) 王丽君 中国免费靠逼视频(北京)新能源材料学院材料科学与工程专业 硕21

4) 赵 昆 中国免费靠逼视频(北京)新能源材料学院材料科学与工程系教师

5) 苗昕扬 中国免费靠逼视频(北京)新能源材料学院材料科学与工程系教师

6) 詹洪磊 中国免费靠逼视频(北京)新能源材料学院材料科学与工程系教师

摘要:

本文提出了一种检测纳秒(ns)脉冲激光能量的方法。偏置电压Vb和激光能量Ein食盐的激光感生电压(LIV信号幅值Vp影响较大,VpVbEin的增大而增大,信号响应时间约为150µs。受阻抗效应的影响,LIV信号的响应速度和峰值Vp随着负载(R)的减小增大。当R=100 Ω时,LIV的响应时间与纳秒脉冲激光相似20 ns),全受激光脉冲持续时间的限制。该研究表明,食盐的LIV响应具有实时超快单脉冲激光检测的潜力。

背景与动机:

随着纳秒脉冲激光器应用的普及,单脉冲激光能量的实时、精确测量成为了有待解决的技术难题。当具有高能量通量的纳秒脉冲激光照射到样品上时,样品表面会形成等离子体羽流,它们是微加工、元素分析、钻孔等工程应用中的主要研究对象。然而,这些等离子体受多种因素的影响(例如靶材特性、单脉冲能量、波长、辐照频率等等)。因此,如何测量快速单脉冲激光信号能量,提取、捕获相关信息就更为关键和具有挑战性。其中,激光诱导等离子体(LIP)在携带样品信息的同时还可以作为信号源,被外接电路捕获,生成激光感生电压(LIV)信号。而食盐因为具有价格低、获取方便、在可见光谱透明等特点,我们选用食盐为脉冲激光的检测材料,进行单脉冲能量的检测和分析。

实验结果及分析:

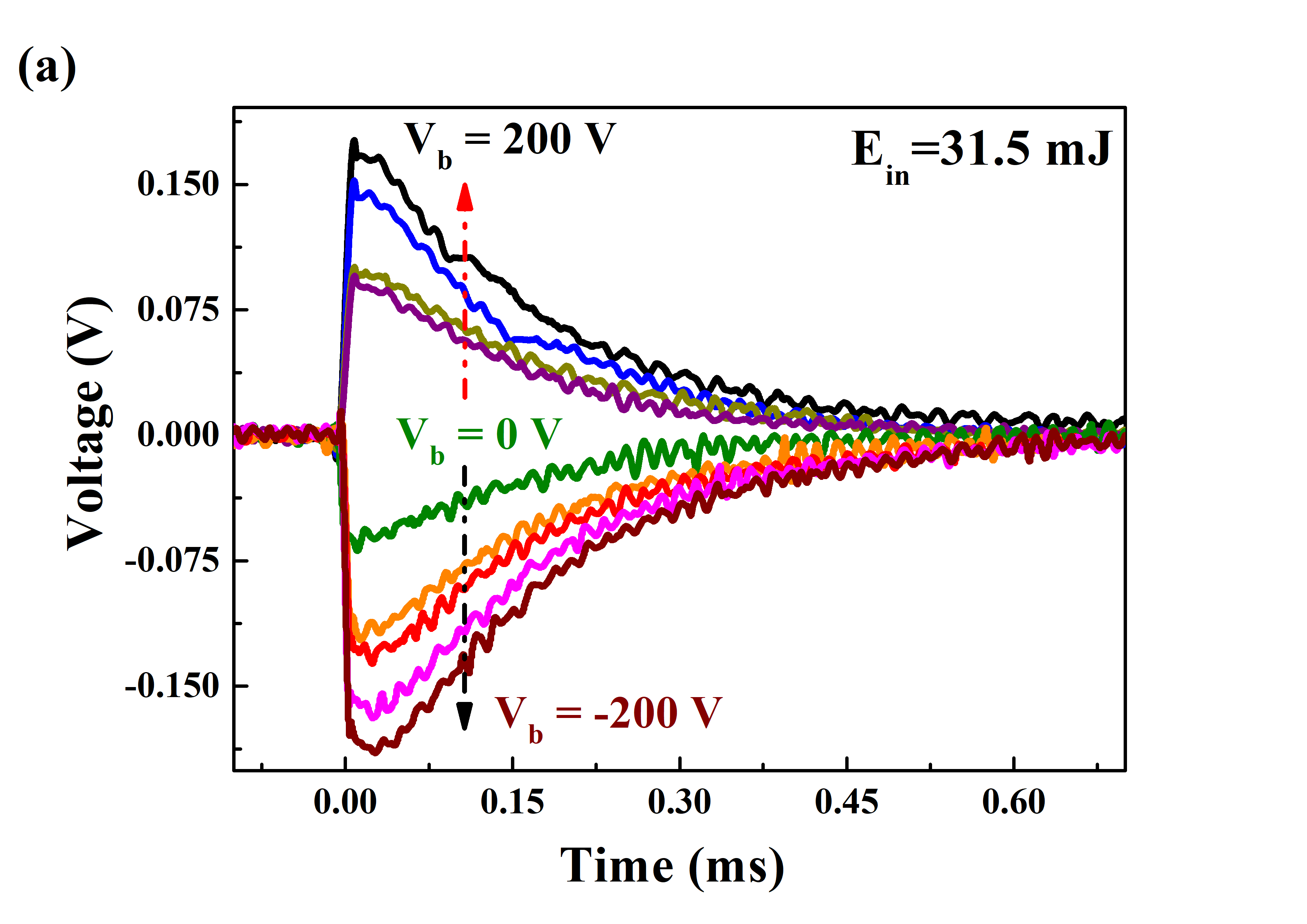
1为激光辐照在样品上产生的LIV响应信号,随着偏置电压Vb和入射激光能量Ein的增加,信号的峰值(Vp)也会随着电极接收到等离子数目的增加而增大。

1 (a)LIV响应信号;(b)VpVbEin的函数关系


2显示了LIV随外接负载R的变化情况,受检测电路阻抗的影响,信号的半高宽(FWHM)和峰值Vp均与R呈正相关。

2(a)LIV信号随负载的变化;(b)半高宽和峰与负载R之间的关系


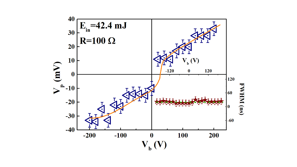
R=100Ω时,如图3所示,受脉冲脉宽时长的限制,响应信号的半高宽一直维持在20 ns左右,VpVb的增加而增加

3 负载为100Ω时,FWHM和VpVb的变化函数


4显示了LIV的信号随Ein的变化呈单调的正相关关系,单位偏压下的探测响应度为1.93 × 106 m1/2·J-3/2,且监测到的LIV波形与脉冲激光的波形结构类似。

4 负载为100Ω时,LIV信号和VpEin的变化

结论:

本研究基于食盐的LIV响应特征设计了测量超快单脉冲紫外激光器的实验系统。通过调节负载R的阻值,实现脉冲激光波形和能量的实时检测。LIV 响应峰值VpVbEinR的影响。随着R的降低,LIV的响应速度增加。在R=100 Ω,食盐检测到的LIV信号响应时间~20 ns,这近似于光源的脉冲宽度。该项工作为简单、低成本的ns脉冲激光实时表征提供了新的见解。

作者简介:

刘学聪,士研究生,研究方向为油气光学探测技术。在Chemical Engineeeing Journal、IEEE Sens JIEEE Trans Instrum Meas等期刊发表论文19篇,其中第一作者SCI论文9篇。获第十三届王涛英才奖学金、2024年中国仪器仪表学会二等奖学金、2023年中国仪器仪表学会学术年会优秀学术成果等奖项。

通讯作者简介:

赵昆,教授,博士生导师,研究方向为油气光学探测技术与智能制造。