您所在的位置:首页 - 科学研究 - 科研动态

科研动态

基于物理过程的异构图注意力网络河流原油泄漏扩散模拟

中文题目:基于物理过程的异构图注意力网络河流原油泄漏扩散模拟

论文题目Physically-based simulation for oil leakage and diffusion on river using heterogeneous graph attention network

录用期刊Heliyon (JCR Q2)

作者列表

1 连远锋 中国免费靠逼视频(北京)信息科学与工程学院/人工智能学院 计算机系教师

2 高浛钊 中国免费靠逼视频(北京)信息科学与工程学院/人工智能学院 计算机技术专业 硕21

3) 纪连恩 中国免费靠逼视频(北京)信息科学与工程学院/人工智能学院 计算机系教师

4) 董绍华 中国免费靠逼视频(北京)安全与海洋工程学院 安全工程系教师

摘要:

输油管道穿越河流上发生事故时,模拟原油在水面扩散与污染效果对制定救援方案具有重要意义。针对现有的河流溢油模拟方法无法呈现符合物理过程的扩散效果以及模拟速度过慢问题,提出融合Mixture模型的河流溢油两相流模拟方法。首先,在无发散光滑粒子流体动力学方法的基础上提出了一种改进的混合流体扩散方法(Mixture Tension Divergence-Free SPH, MTDF-SPH),用于模拟原油与水之间的不混溶相的混合和分解效果。其次,为了加速模拟结果的获取,提出了一种基于物理感知的异构图注意力网(Physics-Aware Graph Attention Network, PAGAT),通过两相流物理感知模块消除教师网络和学生网络的差异。最后,在不同工况条件下,分别对原油在河流表面泄漏扩散物理过程和油品泄漏扩散形态进行分析。实验结果表明,文中方法实现了河流表面原油泄漏扩散的高效模拟。


背景与动机:

基于物理过程的多相流模拟在电影特效、工业生产、灾难仿真等领域有重要研究价值。随着油气资源广泛开采运输和开发利用,穿越河流的输油管道泄漏会对生物和自然环境造成极大损害。目前对原油污染流体模拟与分析已进行诸多研究工作,但是大多数聚焦于海洋原油污染和土壤原油污染,对河流水域原油泄漏和扩散过程研究较少。准确和高效地解决原油在水面的模拟问题具有重要意义。


设计与实现:

首先,本文提出了一种河流溢油扩散模拟方法MTDF-SPH,使原油泄漏扩散过程满足不混溶多相流扩散物理规律。其次,为了提高模拟速度,设计了一种基于异构图注意力机制的物理感知网络PAGAT,该网络使用MTDF-SPH方法生成的数据集进行训练,并使用知识蒸馏方法对该网络进行压缩和优化,在保证模拟精度的同时加快模拟速度。最后,针对不同工况进行准确性和鲁棒性实验并得到了很好的模拟效果。


主要内容:

MTDF-SPH算法

如图1所示,基于光滑粒子流体动力学框架结合混合模型和表面张力模型,构建了一种无散度模拟方法MTDF-SPHMTDF-SPH能够真实地模拟流体各相在方向和位置上的变化。



1 MTDF-SPH溢油扩散示意图


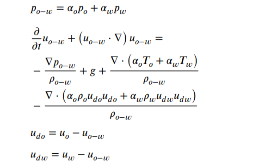
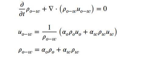
混合物的连续和动量方程可以表示为:






其中,ρo−wpo−w分别为油水混合物的压力和密度,ToTw分别为油和水黏性力张量,uo−w是混合物的速度,udoudw分别为水相和油相的漂移速度。表面张力中粒子间的相互作用力方程为:

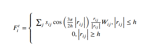
其中,是粒子间相互作用力的强度因子,rij是粒子ij之间的距离,h是粒子的SPH核半径。粒子的运动方程为:





其中,是作用于粒子i的合力,而是表面张力。


PAGATNet模型

如图2所示,为了从油、水两相流提取特征以获得更详细的特征信息,这里提出了一种溢油扩散模拟网络PAGATNet。设计了知识蒸馏方法以提高网络的鲁棒性和收敛性。



2 PAGATNet框架


如图3所示,表面粒子与内部粒子受到不同的力,为了提取不同流体粒子的力特征,设计了融合三种不同机制的注意力图模块(Attention Graph Network Block, AGNB)。为了提高模拟精度,将AGNB与物理感知模块相结合。尽管教师模型能够准确地描述多相流的相互效果,但其不具备轻量级和高效率的特性,为此我们提出了特征响应知识蒸馏(Feature-Response Knowledge Distillation, FRKD)来压缩并微调模型结构。



3 -水界面表面张力示意图

实验结果及分析:



4 两相流体交互渲染结果


如图4所示,两组流体以相反方向注入容器中,在粒子发生碰撞后落到底部。在使用DFSPH方法进行模拟时,两组流体主要的交互方式是粒子与容器边界的碰撞,而粒子之间的碰撞较少。使用MTDF-SPH方法进行模拟时,两组流体在接触后会发生碰撞,落容器的底部后产生分层。



5 河流溢油从第2300帧到第2390帧的MTDF-SPHGNSPAGATNet_AGNBPAGATNet模拟结果。


如图5所示,GNS模拟的溢油边缘与MTDF-SPH存在较大差异。由于PAGATNet_AGNB移除了AGNB模块无法处理表面张力和多相流相互作用力,模拟结果溢油分布稀疏。尽管PAGATNetMTDF-SPH的模拟结果在溢油扩散的前沿略有不同,但能够真实地模拟河流中游和上游的溢油形状。


1 河流原油泄漏模拟算法的T帧生存时间比较


由于SPH算法中融入了混合模型和表面张力模型,导致油泄漏模拟的时间有所增加。如表1所示,在第3100帧时,MTDF-SPH所需的时间比DFSPH增加了13.84%。因此,需要优化MTDF-SPH算法以提高其模拟效率。


2 基于河流原油泄漏污染数据集的运行时间和模型误差比较



为了验证模拟算法的效率,我们比较了MTDF-SPHDPI-NetsGNSPAGATNet在真实河流上模拟原油泄漏的情况。如表2所示,与其它算法相比,PAGATNet显著减少了整体计算时间。当模拟帧数为130时,PAGATNet所需的时间比MTDF-SPH少了45.57%。这表明,相较于其他算法,PAGATNet在模拟计算中具有更高的效率。


结论:

本文针对河流溢油扩散的两相流模拟问题,提出了一种新的模拟方法。基于混合模型、表面张力模型和DFSPH方法构建了模拟模型MTDF-SPH。为了加速两相流模拟,采用知识蒸馏方法设计了一种异构图注意力网络PAGATNet。通过多个实验证明了本文方法在模拟河流溢油时具有更高的稳定性。


作者简介:

连远锋,教授、硕士生导师。研究方向为图像处理与虚拟现实、机器视觉与机器人、深度学习与数字孪生。