您所在的位置:首页 - 科学研究 - 科研动态

科研动态

基于高压盐水溢流过程的自适应控制方法

论文题目:基于高压盐水溢流过程的自适应控制方法

录用期刊/会议:中国控制会议, (CCF A类会议.)

录用/见刊时间:2024.7.28-31

作者列表

(1) 孟卓然  中国免费靠逼视频(北京)人工智能学院 控制科学与工程 博20

(2) 徐宝昌  中国免费靠逼视频(北京)人工智能学院  自动化系 教师

(3) 胡   松    中国免费靠逼视频(北京)人工智能学院 控制科学与工程 20

(4) 陈怡祺  中国免费靠逼视频(北京)人工智能学院 控制科学与工程 21

(5) 尹士轩  中国免费靠逼视频(北京)人工智能学院 控制科学与工程 23

 

摘要:

本文致力于解决一类应用于巨厚盐膏层的双曲型PDEs系统的参数辨识与控制问题。首先,基于swapping design的自适应状态估计器被建立以辨识估计模型中的未知参数,并证明了该估计器的稳定性。其次,根据辨识后的模型和无限维backstepping方法设计自适应控制器。最后,这个结果被应用在某盐膏层地区的钻井过程中。实验结果表明,在已知井底初值的情况下,钻井液密度的辨识结果可在10s内收敛至真值,而在此基础上设计的自适应控制器更具有鲁棒性。

背景与动机:

盐膏层是指以盐或石膏为主要成分的地层。在中国塔里木盆地DB、KS、BZ等区块,大量盐膏层被发育且层间发育高压盐水。在钻井过程中,钻井液体系对稳定井底压力具有至关重要的作用。当高压盐水层中大量盐水侵入并溶解到钻井液后,钻井液本身的聚结稳定性被破坏,进而严重影响钻井安全。

设计与实现:

(1)研究内容:

该模型经过等价坐标变换,可转化为双曲型线性PDE系统。

其中,均为未知参数,保证且有,并假设存在已知的初始状态满足

图1 系统框图

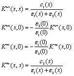
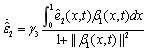
(2)参数辨识

将系统分别拆解为输入滤波器与参数滤波器系统。

输入滤波器系统:

参数滤波器系统:

其中为大于零的设计增益。

建立状态、输入滤波器和参数滤波器之间的静态组合,形成非自适应状态与参数估计:

使用归一化梯度下降法可得:

其中均为大于零的增益向量。值得说明的是,求得上述未知参数后,只需将对角变换(附录)过程进行逆变换即可得到钻井液密度的估计值。

(3)稳定性分析

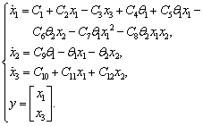
为了方便描述,将参数和增益向量写为矩阵形式,令:且有

,简化两相流模型可改写为如下状态空间形式,其中均为常数。

(4) 自适应控制

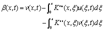
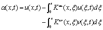
原系统(2)是一个一阶线性双曲PDE系统,其中包含两种状态相互耦合。该系统本质上是一个稳定的系统,并且具有瞬态响应。但由于系统状态的强耦合性,难以得到该PDE的解析解,所以在原系统上直接进行控制器设计并不可取。考虑以下Volterra变换(backstepping transformation):

在三角域内有如下边界条件:

实验结果及分析:

井的详细数据如表1所示:

表1 井的参数给定

Table 1 well parameters given

image.png

图2 井底压力跟踪效果对比图

image.png 

图3 井底压力跟踪效果对比细节图

图2呈现了三种不同的控制器对井底循环压力的跟踪效果,图3是该图像的细节展示,由图可知,自适应控制器相较于状态反馈控制器和输出反馈控制器有更长的响应时间,并且压力波动范围也有所增加,但该控制器更符合工程实际背景,并且当段钻井液密度出现降低时,该控制器不会如状态反馈控制器与输出反馈控制器一样出现压力突变,而是依据辨识出的钻井液密度估计量逐步下降,另外,该处的压力波动量更小部分所示)。总体而言该自适应控制器能准确的辨识出井内变化的钻井液密度,对井底循环压力进行跟踪并能在有限时间内稳定至目标设定值,其波动范围与响应时间均在窄压力安全窗口钻井系统的阈值范围。

作者简介:

徐宝昌,教授,博士生导师/硕士生导师。长期从事复杂系统的建模与先进控制;钻井过程自动控制技术;井下信号的测量与处理;多传感器信息融合与软测量技术等方面的研究工作。现为中国石油学会会员,中国化工学会信息技术应用专业委员会委员。曾参与多项国家级、省部级科研课题的科研工作,并在国内外核心刊物发表了论文70余篇;其中被SCIEIISTP收录30余篇。