您所在的位置:首页 - 科学研究 - 科研动态

科研动态

SD-SSTA: 考虑偏斜分布的统计静态时序分析算法

中文题目SD-SSTA: 考虑偏斜分布的统计静态时序分析算法

论文题目:SD-SSTA: Statistical Static Time Analysis Algorithm Considering Skewed Distribution

录用期刊/会议:2024 International Symposium of Electronics Design Automation (ISEDA) (EI索引国际会议)

原文链接:http://www.ssslab.cn/assets/papers/2024-deng-SDSSTA.pdf 

DOI10.1109/ISEDA62518.2024.10618081

录用/见刊时间:2024-3-26

作者列表

1) 邓福星 中国免费靠逼视频(北京) 人工智能学院 硕 23

2) 冯一航 中国免费靠逼视频(北京) 人工智能学院 硕 23

3) 牛   丹 东南大学 自动化学院

4) 吴   枭 北京华大九天科技股份有限公司

5) 金   洲 中国免费靠逼视频(北京)人工智能学院

 

背景与动机:

静态时序分析 (Static Timing Analysis,STA) 是近年来在数字电路设计中应用最广泛和最成功的分析引擎之一。然而,确定性静态时序分析 (Deterministic Static Timing Analysis, DSTA)没有考虑工艺参数的波动对电路性能的影响,这引起了人们对确定性静态时序分析能否有效模拟统计变化的关注。因此,统计静态时序分析 (Statistical Static Timing Analysis,SSTA)已被提出并被广泛研究。传统的SSTA算法,如基于高斯分布的概率传播算法和蒙特卡罗算法,无法达到高精度和良好的性能。本文提出了一种考虑偏态分布的SSTA算法——SD-SSTA,该算法成功地实现了到达时间和时序宽裕量的精确计算,并且具有时间和空间上的优异性能。

设计与实现:

(1)算法框架

图1 SD-SSTA算法的实现过程

我们提出的SD-SSTA算法分为以下三个阶段。(1) 读取电路设计文件,建立时序图的数据结构。(2) 进行前向传播,从时序图的根节点开始逐步计算所有节点的到达时间。(3) 计算指定时序路径终点处的时序宽裕量。SD-SSTA算法流程如图1所示。

(2)构建时序图

我们收集电路的统计数据,组织电路设计文件,其中包括描述电路结构和时序信息的各个重要部分。图2 (a)是一个简单的电路示例,SD-SSTA算法通过读取电路设计文件构建如图2 (b)所示的时序图。

图2(a) 示例电路图,(b)对应的时序图

(3)SD-SSTA的操作

本文通过在高斯分布中加入偏度系数来描述非高斯分布。因此SD-SSTA算法的到达时间计算包括两个部分。

图3 非高斯分布的Max和Add操作的实现

 a. µ和σ: Max运算后通常形成非高斯分布。所以我们用高斯混合模型(Gaussian Mixture Model,GMM)建立模型最大值的概率密度函数(Probability Density Function,PDF)。首先利用蒙特卡罗模拟方法对非高斯分布进行建模,然后利用GMM进行拟合。换句话说,它可以分解成基本函数单元(Radial Basis Function,RBF)。进一步,我们从模型的属性中提取每个拟合RBF的µ和σ。因此,我们将非高斯分布作为公式(1)的线性组合来处理,如图3所示。最后,通过公式(2)提取到达时间µ和σ:

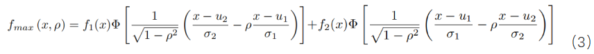
b.偏度系数: 两个相关高斯随机变量(X1和X2)的最大值的PDF形式为:

其中fi(x)分别是i = 1,2的高斯分布。

三阶矩是偏度的度量。因此,通过计算三阶矩,我们可以描述MAX运算后非高斯分布的偏度。计算公式如下:

(4)计算时序宽裕量

SD-SSTA算法计算指定时序路径终点处的时序宽裕量。对于图2(a)中的上升沿触发的触发器,在DFF/D处下降信号的时序宽裕量应用以下公式进行计算。

(5)性能优化

 图4 名称映射方法

在STA中,逻辑门的名称通常以字符串的形式存储在电路文件中。对于大规模的电路,字符串的搜索和比较将消耗大量的内存和时间。我们提出了一种名称映射方法,将电路文件中一个逻辑门的所有名称映射为整数,并且在程序运行过程中只使用整数进行计算。这种方式,特别是在大规模电路中,节省了大量的内存,也在一定程度上减少了运行时间。图4显示了Hash函数的映射过程。

实验结果及分析:

表1 关于测试用例的信息。(前两行反映了案例的数据大小:第一行的值可以反映时序图中的节点和边的数量;第二行的值表示端点的数量;第三行的值表示标准差的均值)。

表2 每个样例的最终准确度得分 

根据评分公式计算出相应的时序宽裕量准确度得分。表2比较了三种不同测试用例下SSTA和SD-SSTA算法计算的时间宽裕量准确性。从表1中可以看出,电路3的方差小,即工艺参数的变化范围很小,因此传统算法可以实现精确的计算。而电路2的方差大,传统方法无法解决,SD-SSTA算法的优越性从而体现出来。

 

图5 使用名称映射方法前后的时间和内存比较

从图5可以看出,名称映射方法减少了算法的时间和内存,对大规模电路的效果尤为明显。

结论:

本文提出了一种基于非高斯分布的SSTA方法SD-SSTA。不同于传统的SSTA算法,我们利用GMM模型对非高斯分布进行建模,并在高斯分布的基础上引入偏度系数。非高斯分布用µ,σ和偏度系数表示,即非高斯分布被参数化。利用这些参数,准确地计算了到达时间的前向传播。在时间宽裕量的计算中,考虑了偏斜的影响,并在公式中引入了SAF。与传统的SSTA结果相比,SD-SSTA算法显著提高了时间宽裕量计算的准确度。此外,通过名称映射有效地减少了内存和时间,提高了算法的性能。

通讯作者简介:

金洲,副教授,中国免费靠逼视频(北京)计算机系副教授,入选北京市科协青年人才托举工程、校青年拔尖人才。主要从事集成电路设计自动化(EDA)方面的研究工作。主持并参与国家自然科学基金青年项目、培育项目、重点项目,科技部重点研发微纳电子专项、高性能计算专项青年科学家项目,国家重点实验室开放课题、企业横向课题等。在DAC、TCAD、TODAES、SC、PPoPP、IPDPS、TCAS-II、ASP-DAC等重要国际会议和期刊上发表60余篇高水平学术论文。获EDA2青年科技奖、SC23最佳论文奖、ISEDA23荣誉论文奖、IEEJ九州支部长奖等。

 联系方式:jinzhou@dgqinyehang.com